![]() | Примеры уроков. Алгебра 9 класс (базовый уровень)Примеры уроков. Алгебра 9 класс (базовый уровень) |
Примеры уроков онлайн-курса по школьной программе
Примеры уроков онлайн-курса по школьной программе
1 урок
Многочлен $\displaystyle n$-степени:
$\displaystyle P_n(x)=a_0x^n+a_1x^{n-1}+ $ $\displaystyle \dots +$ $\displaystyle a_{n-1}x+$ $\displaystyle a_n,$
где $\displaystyle a_0, \ a_1, \ \dots, \ a_{n-1}, \ a_n$ — заданные числа, $\displaystyle a_0 \neq 0$, $\displaystyle n$ — натуральное число.
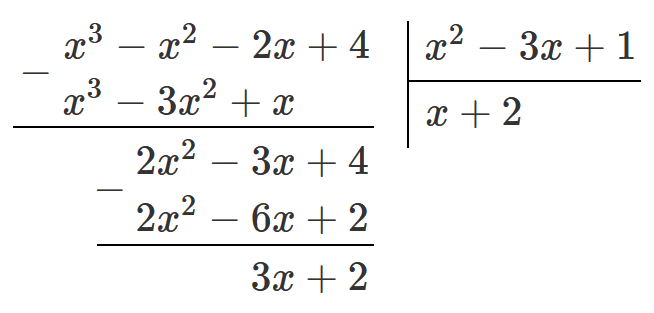
Деление многочленов нацело:

Деление многочленов с остатком:

Учимся решать задачи
Задание 1:
Найдите частное: $\displaystyle (x^2-6x+8):(x-2)$.
Варианты ответов:
Задание 2:
Найдите частное: $\displaystyle (2x^3+3x^2-8x+3):(x+3)$.
Варианты ответов:
Задание 3:
Выполните деление: $\displaystyle (5x^3+9x^2-17x+3):(x^2+2x-3)$.
Варианты ответов:
Задание 4:
Найдите остаток от деления многочлена на многочлен: $\displaystyle (4x^3+10x^2- 7x-8):(x+3)$.
Варианты ответов:
Задание 5:
Найдите остаток от деления многочлена на многочлен: $\displaystyle (3x^4- 9x^3+2x^2-10x$ $\displaystyle +18):(3x^3+$ $\displaystyle 2x-$ $\displaystyle 4)$.
Варианты ответов:
Задание 6:
Делится ли нацело многочлен $\displaystyle P(x)$ на многочлен $\displaystyle Q(x)$?
$\displaystyle P(x)=6x^5-30x^4-3x^3+15x^2-$ $\displaystyle 2x+$ $\displaystyle 11$;
$\displaystyle Q(x)=x-5$.
Варианты ответов:
Задание 7:
При каком значении $\displaystyle k$ многочлен $\displaystyle P(x)$ делится нацело на многочлен $\displaystyle Q(x)?$
$\displaystyle P(x)=3x^6+2x^4+kx^2+1$;
$\displaystyle Q(x)=3x^4+5x^2-1$.
Варианты ответов:
32 урок
Учимся решать задачи
Задание 1:
Решите уравнение: $\displaystyle 2x^3+9x^2+3x-4=0$.
Варианты ответов:
Задание 2:
Решите систему уравнений: $\displaystyle \begin{cases} x^2+y^2=52;\\ xy=-24. \end{cases}$
Варианты ответов:
Задание 3:
Упростите выражение: $\displaystyle 9+5\sqrt{3}\cdot (2-\sqrt{3})^2$.
Варианты ответов:
Задание 4:
Найдите область определения функции: $\displaystyle y=\sqrt{x^3-4x}$.
Варианты ответов:
Задание 5:
Найдите сумму первых десяти членов арифметической прогрессии, если $\displaystyle a_1=5, \; d=-2$.
Варианты ответов:
Задание 6:
Решите уравнение: $\displaystyle \sqrt{x+3}+\sqrt{2x-3}=6$.
Варианты ответов:
Задание 7:
Построить график функции $\displaystyle y=2-\frac{1}{x^2}$.
Варианты ответов:
![[Математический кружок]](/img/logo/header-ru-transparent-v5.png)
![Примеры уроков. Алгебра 9 класс (базовый уровень) [Примеры уроков. Алгебра 9 класс (базовый уровень)]](/img/theme/subjects/math-64.png)